ROE(자기 자본 이익률)를 이용하여 2021년 삼성전자의 주가전망을 알아보겠습니다. 이 방법은 RIM(잔여이익모델)이라고 불립니다. 기업의 미래 주가를 정확히 예측하는 것은 불가능합니다. 하지만 기업의 예상 실적을 이용한다면 적정 주가를 예상해볼 수는 있을 것입니다.
먼저 RIM이 무엇인지 알아보겠습니다. RIM이란 Residual Income Model의 약자로 잔여이익모델이라는 뜻입니다. RIM의 정의는 기업의 예상 실적 추정치를 계산하여 얻은 초과 이익으로 기업의 가치를 평가하는 모델입니다. S-RIM은 사경인 회계사님이 RIM을 본인의 방식으로 활용한 모델입니다. RIM의 정의를 글로 읽으면 몹시 어렵지만 S-RIM의 방정식을 본다면 쉽게 이해할 수 있습니다. 방정식의 해석은 아래에서 다루겠습니다.
RIM을 이해하려면 ROE에 대해서도 알아야 합니다. ROE는 저의 이전 포스팅에서 다루었으니 읽어봐 주시기 바랍니다. 아래에 저의 이전 포스팅 링크를 남겨놓겠습니다.
기업 수익성 분석 - ROE, ROA, ROIC(feat. SK하이닉스)
포스팅의 내용은 제가 공부한 내용을 정리한 것입니다. 종목의 매매를 추천해드리는 것이 아닙니다. 매매는 스스로 공부하시고 본인 판단하에 진행하시기 바랍니다.
※ RIM 방정식을 S-RIM 방정식으로 바꾸기
사경인 회계사님의 S-RIM 방정식은 RIM 방정식보다 훨씬 간단합니다. S-RIM 방정식을 도출하는 과정을 나름대로 정리해보겠습니다. 공학을 전공한 사람으로서 결과 값을 보고 중간 식을 도출한 것입니다. 과정이 올바르지 않을 수도 있습니다. RIM의 뜻을 이해하는 데에는 방정식을 이해하면 좋겠지만 RIM을 사용하는 관점에서는 도출과정이나 식의 의미는 몰라도 될 것 같습니다. 복잡한 식이 싫으시다면 도출 과정은 지나치셔도 될 것 같습니다.

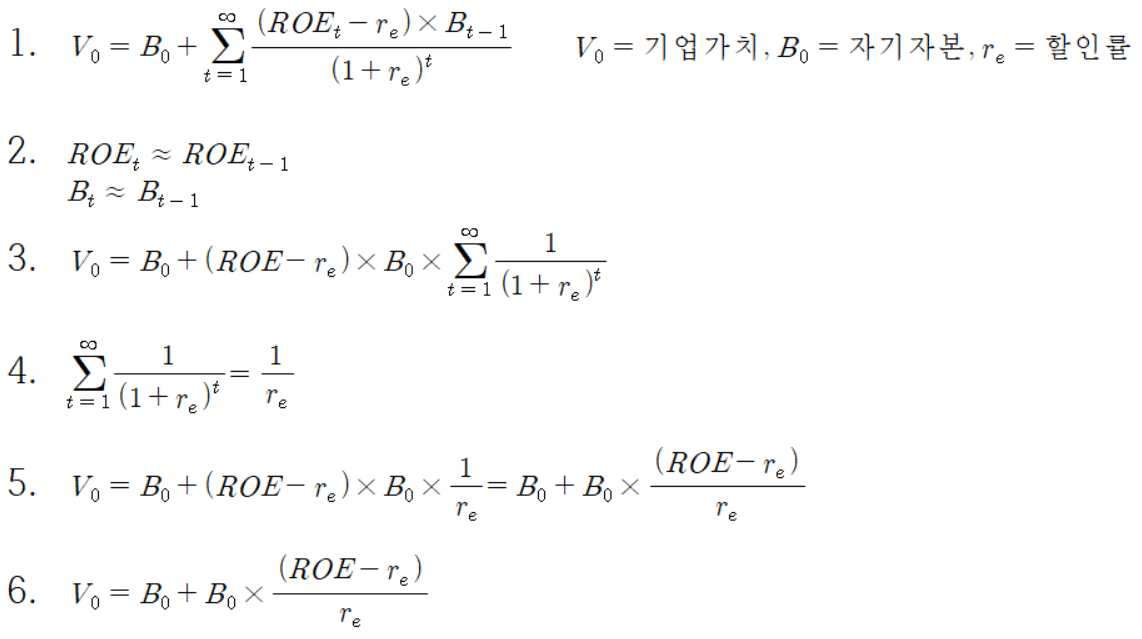
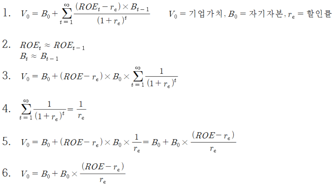
- 1번의 식이 RIM 방정식입니다. 할인율에는 BBB-등급의 5년 만기 회사채 수익률을 적용합니다. 식의 의미를 해석해보면 자기 자본을 BBB- 회사채에 투자했을 때보다 이 기업에 투자를 한다면 얼마의 이익을 더 가져다줄 수 있냐 라는 뜻입니다. BBB- 5년 만기 회사채의 수익률을 알아보려면 아래의 링크에 접속하시면 됩니다.
- RIM방정식을 간단히 만들려면 2번의 가정이 필요합니다. 기업의 ROE와 자기 자본이 해마다 크게 변동이 없다는 것을 가정한 것입니다. (인터넷을 뒤져봐도 S-RIM방정식을 어떻게 도출했는지에 대한 설명은 없어서 제가 단순히 수학적으로 추리해본 것입니다.)
- 2번의 가정으로 1번의 식을 3번과 같이 바꿀 수 있습니다.
- 4번의 식에서 볼 수 있듯이 시그마항은 간단하게 정리될 수 있습니다.
- 3번의 식을 4 번식을 활용하여 정리한다면 5번처럼 전개가 됩니다. 따라서 최종적으로 6번 식이 나옵니다.
- 6번의 식이 S-RIM 방정식입니다. 식의 의미를 해석해보면 현재 기업의 자기 자본과 자기 자본을 투자했을 때 BBB- 5년 만기 회사채 대비 얻을 수 있는 수익을 더한 값이 기업의 가치라는 뜻입니다.
기업의 가치 = 현재 기업의 자기 자본 + 자기 자본을 투자했을 때 BBB- 5년 만기 회사채 대비 얻을 수 있는 수익
※ S-RIM 방정식 간단화
S-RIM 방정식을 전개하여 좀 더 간단한 식으로 바꿔보겠습니다.

- 1번과 같이 S-RIM 방정식을 전개할 수 있습니다.
- 1번의 결과로 2번의 간단한 식을 얻을 수 있습니다. 2번의 식을 해석해보면 자본금(B)으로 회사채를 사는 것(r)보다 이 기업에 투자한다면 얻을 수 있는 수익률(ROE)의 비율을 기업의 가치(V)로 보는 것입니다. 간단히 말하면 내가 가진 돈을 회사채를 사놓는 것보다 이 기업에 투자하면 얼마나 수익을 더 얻을 수 있냐라는 것으로 기업의 가치를 판단합니다.
- 우리는 기업의 시가총액보다 주가가 궁금한 것이므로 기업의 가치를 주식수로 나눈다면 주가를 얻을 수 있습니다. 따라서 3번의 식만 이용한다면 RIM 방정식을 통한 적정주가를 예상할 수 있습니다.
※ 간단화된 S-RIM 방정식으로 2021년 삼성전자 주가전망 예상하기
이제 위에서 간단화된 방정식을 도출했으니 복잡한 생각은 할 것 없이 식에 값을 대입만 하면 됩니다.

위의 공식에 대입할 값을 가져와보겠습니다. 삼성전자의 2020년 자본과 주식수, BBB- 5년 만기 회사채 수익률, 삼성전자의 2021년 예상 ROE가 필요합니다. BBB- 5년 만기 회사채 수익률은 위의 링크에서 알아볼 수 있고 나머지 정보들은 HTS나 네이버 증권에서 가져올 수 있습니다.

네이버 금융에서 삼성전자의 재무제표를 가져왔습니다. 2020년 자본총계(B)는 2,759,480억 원이고 발행주식수는 5,969,782,550주입니다. 2021년 예상 ROE는 12.63%로 나와있습니다. 올해 BBB- 5년만기 수익률은 평균적으로 8.1% 정도의 수치를 보여주고 있습니다. 그럼 최종적으로 S-RIM 공식에 대입해보겠습니다.
S-RIM 적정 주가 = (2,759,480억 원)÷(5,969,782,550주) ×(12.63%)÷(8.01%) = 72,075원
※ 마무리
계산 결과 현재 주가보다 한참 낮은 값이 나왔습니다. 최근에는 전통적인 주가 분석이 맞아떨어지는 경우가 잘 없는 것 같습니다. 삼성전자는 2021년에 매출액과 당기순이익이 많이 증가할 것으로 보이고 있습니다. 또한 아래의 표와 같이 증권사들의 삼성전자 주가 예상치도 10만 원을 넘어가고 있습니다. 증권사에 있는 똑똑한 분들이 추정한 가격이니까 단순한 S-RIM 계산으로 얻은 결과보다 훨씬 정확할 것이라고 생각합니다.

아래의 링크는 삼성전자의 주력 사업 중 하나인 반도체 산업과 관련된 종목들을 정리해놓은 링크입니다. 참고하시고 투자에 도움이 되길 바랍니다.
RIM으로 삼성전자 주가 전망 계산하기
댓글